|

|
Опечатки
Что это такое?
На этой странице размещён список замеченных опечаток в учебнике
«Информатика. Углублённый уровень» для 10-11 классов
К.Ю. Полякова и Е.А. Еремина.
Авторы будут благодарны за отзывы и
конструктивную критику по поводу содержания и оформления представленных материалов.
Если вы нашли опечатку или неточность, которой нет в приведённом списке, можно отправить
сообщение прямо с этого сайта.
Обратите внимание, что в списке опечаток приводятся правильные варианты текста и рисунков.
Многоточие означает «далее по тексту». Щёлкнув по рисунку, вы можете просмотреть его
в увеличенном размере.
Учебник для 10 класса
От авторов
с. 5, 2-ой абзац снизу следует читать так:
с. 8, адрес методического сайта издательства «Бином» должен выглядеть так:
Глава 1. Информация и информационные процессы
с. 14, рис. 1.2 должен выглядеть так:
c. 31, вторую строку снизу следует читать так:
3. На пароме из г. Ореховска через р. Слоновую в пос. Ольховка.
с. 45, рис. 1.26 должен выглядеть так:
с. 49, рис. в задаче 1-б должен выглядеть так:
Глава 2. Кодирование информации
c. 57, определение в рамке в нижней части страницы следует читать так:
Если алфавит языка состоит из N символов (имеет мощность N),
количество различных сообщений длиной L знаков вычисляется как
Q = NL.
с. 63, последние 4 строки снизу следует читать так:
... применяя общую формулу (см. § 5), получаем
количество различных сообщений длиной I битов: N = 2I.
с. 71, п. 1 списка в конце страницы следует читать так:
1. Определим все последовательности, которые совпадают с началом какого-то кодового слова и одновременно с концом
какого-то кодового слова; в данном случае это две последовательности:
0 (начало кода буквы А и конец кода буквы Б)
1 (начало кода буквы Г и конец кода буквы Д)
10 (начало кода буквы Д и конец кода буквы Б).
с. 72, п. 2 списка в начале страницы следует читать так:
Добавим к этому множеству {0, 1, 10} пустую строку, которую обычно обозначают буквой Λ
(прописная греческая буква «лямбда»); элементы полученного множества {Λ, 0, 1, 10}
становятся узлами графа (рис. 2.5).
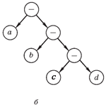
с. 72, рис. 2.5 должен выглядеть так:
с. 72, рис. 2.6 должен выглядеть так:
с. 73, окончание списка в начале страницы следует читать так:
- цикл «Λ01Λ», соответствующий
сообщению ΛА01АΛ = 010101; это сообщение может быть расшифровано как
ААА и как БД;
- цикл «Λ0101Λ», соответствующий
сообщению ΛА0101АΛ = 01010101; это сообщение может быть расшифровано как
АБД и как БДА.
с. 81, 3-й абзац снизу, 2-е предложение следует читать так:
Вы уже знаете, что с помощью алфавита, состоящего из N символов, можно закодировать
Q = NL разных сообщений длины L.
с. 84, п. 1 списка в нижней части страницы следует читать так:
1) определяем мощность алфавита N (количество символов в алфавите);
с. 84, содержимое ячейки в левом верхнем углу таблицы следует читать так:
с. 84, п. 3 списка следует читать так:
3) умножаем i на число символов в сообщении L,
это и есть полное количество информации: I = L·i.
с. 87, 2-ю строку снизу следует читать так:
если известно, что в обоих алфавитах число символов меньше 10, и ...
с. 88, 3-ю и 4-ю строки следует читать так:
если известно, что в обоих алфавитах число символов меньше 200, и ...
с. 89, запись числа 90 в римской системе следует читать так:
с. 91, задание 1 следует читать так:
Переведите в римскую систему числа: 12, 345, 2999, 2444, 2888,
3777.
с. 92, абзац после разложения числа по схеме Горнера следует читать так:
Эта форма позволяет найти число, используя только умножение
и сложение (без возведения в степень).
с. 94, последний рисунок (перевод в пятеричную систему счисления) должен выглядеть так:
с. 100, формула в середине страницы после слов «или с помощью схемы Горнера» должна выглядеть так:
с. 105, примеры на вычитание в середине страницы должны выглядеть так:
с. 108, условие в задаче 6-б должно выглядеть так:
с. 111, 5-ю строку снизу следует читать так:
в начало числа нужно добавить два нуля (они подчёркнуты):
с. 113, условие в задаче 5-и должно выглядеть так:
с. 116, пример на вычитание в нижней части страницы должен выглядеть так:
с. 118, условие в задаче 9-г должно выглядеть так:
Глава 3. Логические основы компьютеров
с. 160, 8-я строку снизу следует читать так:
Поэтому оказалось, что обработку двоичных данных ...
с. 168, 4-я строку снизу следует читать так:
Эквивалентность (или эквиваленция, равносильность) — это ...
с. 170, выражение для дизъюнкции через операцию «штрих Шеффера» следует читать так:
с. 173, 3-ю строку над рис. 3.14 следует читать так:
а условие 80 > (X+2)2 — на
|X+2| ≤ 8 или на
10 ≤ X ≤ 6. Таким образом, ...
с. 177, рисунок к задаче 3 должен выглядеть так:
с. 188, Пример 1, 4-й абзац следует читать так:
Возможен второй вариант — упростить выражение. Заменяя
импликацию по формуле , получаем ...
с. 201, рис. 3.21 должен выглядеть так:
с. 202, 4-е предложение первого абзаца следует читать так:
Тем не менее инженеры часто предпочитают
строить логические схемы на основе элементов «И–НЕ».
с. 202, рис. 3.22 должен выглядеть так:
с. 206, рис. 3.31 должен выглядеть так:
с. 207, рис. 3.33 должен выглядеть так:
с. 208, рис. 3.35 должен выглядеть так:
с. 216, таблицы должны выглядеть так:
Глава 4. Компьютерная арифметика
с. 224, последнюю строку следует читать так:
Например, целые числа в диапазоне от 0 до 255 в языке
Паскаль можно хранить в ...
с. 225, 16-ю строку сверху следует читать так:
... может принимать конечное
количество различных значений в заданном диапазоне, ...
с. 236, рис. 4.9 должен выглядеть так:
с. 238, рисунок в нижней части страницы должен выглядеть так:
с. 243, рис. 4.15 должен выглядеть так:
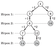
с. 250, задача 11, решение Пети должно выглядеть так:
с. 250, задача 11, 1-ю строку после решения Коли следует читать так:
Петя, ссылаясь на образцы задач в учебнике, критикует такой подход.
с. 254, рис. 4.20 должен выглядеть так:
с. 260, задача 8, последнее значение должно выглядеть так:
3F 40 00 0016
Глава 5. Устройство компьютера
с. 320, 3-ю строку следует читать так:
... на рис. 5.19 кэш только частично расположен внутри процессора...
с. 333, рис. 5.23 должен выглядеть так:
Глава 6. Программное обеспечение
с. 7, 1-й абзац подпараграфа «Текстовые редакторы» следует читать так:
Обычно различают редактирование текста
(изменение содержания текста: замена, вставка и удаление символов и слов) и
форматирование текста (изменение внешнего вида
текста — выбор шрифта, изменение размера и цвета, разбивка на абзацы и т. п.).
с. 7, 3-ю строку снизу следует читать так:
с. 9, 7-ю строку снизу следует читать так:
... существуют его версии для операционных систем Windows, Linux и Mac OS.
с. 35, задание 7, маски следует читать так:
Глава 7. Компьютерные сети
с. 67, 1-й абзац следует читать так:
... стандарт определяет скорости передачи
данных 10 Мбит/с, 100 Мбит/с, 1 Гбит/с и 10 Гбит/с.
При указании скорости передачи данных используются десятичные приставки
(а не двоичные, как при измерении количества информации), например,
1 Мбит/с = 106 бит/с.
с. 74, 1-ю строку снизу следует читать так:
... состоят из четырёх чисел в диапазоне от 0 до 255, например:
с. 75, 3-ю строку сверху следует читать так:
Маска — это тоже четыре числа в диапазоне [0; 255], ...
с. 78, последнюю строку 1-го абзаца следует читать так:
Например, сайт www.ucoz.ru предоставляет
всем желающим место под сайт и домен третьего уровня вида
ivanov.ucoz.ru.
с. 83, формулировку задач 4 и 5 следует читать так:
По заданным IP-адресу узла сети и маске определите ...
с. 85, 4-й абзац сверху следует читать так:
с. 90, 5-ю строку сверху следует читать так:
Многие из почтовых серверов бесплатны и имеют веб-интерфейс, ...
с. 99, вопрос 11 следует читать так:
Как вы думаете, зачем производители аппаратуры и программного обспечения
организуют форумы на своих сайтах?
Глава 8. Алгоритмизация и программирование
с. 116, 2-ой абзац и программу после него следует читать так:
В обоих языках (в среде КуМир — начиная с версии 2.0)
можно использовать форматный вывод: после двоеточия указать общее количество знакомест,
отводимое на число. Например, программа
a := 123
вывод a:5
|
a := 123;
write ( a:5 );
|
с. 119, 1-й абзац следует читать так:
Логические переменные в Паскале относятся к типу boolean
и принимают значения True (истина) и False (ложь).
Несмотря на то, что теоретически для хранения логического значения достаточно
одного бита памяти, обычно такая переменная занимает в памяти один байт
(или даже несколько байтов). Так как процессор может читать и записывать в
память только целые байты, операции с логическими переменными в этом случае выполняются быстрее.
с. 121, конец 4-го абзаца следует читать так:
... количество знаков в дробной части. Такую же форму записи можно использовать
и в среде КуМир (начиная с версии 2.0). Например, программа
a := 1
вывод a/3:7:3
|
a := 1;
write ( a/3:7:3 );
|
с. 123, 17-ю строку следует читать так:
... случайное число в диапазоне от 1 до 6 (результат бросания кубика), ...
с. 152, первая программа на алгоритмическом языке должна выглядеть так:
x:= 2*sumDigits(n+5)
z:= sumDigits(k) + sumDigits(m)
если mod(sumDigits(n),2) = 0
вывод 'Сумма цифр чётная', нс
вывод 'Она равна ', sumDigits(n)
кц
с. 152, программа на алгоритмическом языке в середине страницы должна выглядеть так:
алг Простые числа
нач
цел i
нц для i от 2 до 100
если i — простое то
вывод i, нс
все
кц
кон
с. 153, программа на алгоритмическом языке в конце страницы должна выглядеть так:
ввод n
нц пока isPrime(n)
вывод 'простое число', нс
ввод n
кц
с. 161, функция NOD на языке Паскаль должна выглядеть так:
function NOD(a,b: integer): integer;
begin
if (a = 0) or (b = 0) then begin
NOD:= a + b;
exit;
end;
if a > b then
NOD:= NOD(a - b, b)
else NOD:= NOD(a, b - a)
end;
с. 163, последнее предложение первого абзаца следует читать так:
... в нашем случае адрес возврата AF
(точка внутри функции Fact после рекурсивного вызова)
в последних двух блоках будет один и тот же.
с. 163, рис. 8.4 (части в и г) должен выглядеть так:
с. 176, программе на языке Паскаль в середине страницы должна выглядеть так:
count:=0;
for i:= 1 to N do
if A[i] mod 2 = 0 then begin
count:= count + 1;
B[count]:= A[i];
end;
с. 176, рис. 8.10 должен выглядеть так:
с. 178, последний абзац следует читать так:
Далее мы будем рассматривать сортировку массива по возрастанию (или убыванию) значений.
Для массивов, в которых есть одинаковые элементы, используются понятия
«сортировка по неубыванию» и «сортировка по невозрастанию».
с. 187, первый массив на рис. 8.12 должен выглядеть так:
с. 192, 3-й абзац следует читать так:
И в школьном алгоритмическом языке, и в Паскале удаление
выполняет процедура, которая изменяет переданную ей строку.
с. 193, программу на псевдокоде в середине страницы следует читать так:
ввести строку s
найти в строке s первый пробел
имя := всё, что слева от первого пробела
удалить из строки s имя с пробелом
найти в строке s первый пробел
отчество := всё, что слева от первого пробела
удалить из строки s отчество с пробелом | осталась фамилия
s := s + ' ' + имя[1] + '.' + отчество[1] + '.'
с. 198, цикл в процедуре следует читать так:
нц пока длин(s) > 0
p:= позиция(wOld, s)
если p = 0 то res:=res+s; выход все
если p > 1 то res:= res + s[1:p-1] все
res:= res + wNew
если p+len > длин(s) то
s:= ''
иначе s:= s[p+len:длин(s)]
все
кц
с. 198, второй фрагмент программы снизу следует читать так:
если p = 0 то res:=res+s; выход все
с. 203, вложенный цикл в программе на Паскале следует читать так:
for i:=1 to N-1 do
for j:=N-1 downto i do
if S[j+1] < S[j] then begin
s1:= S[j];
S[j]:= S[j+1];
S[j+1]:= s1;
end;
с. 207, программу на Паскале с объявлением матриц следует читать так:
const N = 3; M = 4;
var A:array[1..N,1..M] of integer;
X:array[-3..0,-8..M] of double;
L:array[1..N,0..1] of boolean;
с. 207, программу на Паскале в середине страницы следует читать так:
for i:=1 to N do begin
for j:=1 to M do begin
A[i,j]:= random(61) + 20;
write(A[i,j]:3)
end;
writeln
end;
с. 207, последнюю программу на Паскале следует читать так:
s:=0;
for i:=1 to N do
for j:=1 to M do
s:=s+A[i,j];
с. 216, программу на Паскале в середине страницы следует читать так:
N:= 0;
while (not eof(Fin)) and (N < MAX) do begin
N:= N + 1;
readln (Fin, A[N]);
end;
с. 217, программу на псевдокоде в конце страницы следует читать так:
найти в строке пробел
удалить из строки кличку с первым пробелом
найти в строке пробел
выделить возраст перед пробелом
преобразовать возраст в числовой вид
Глава 9. Решение вычислительных задач на компьютере
с. 225, 3-ю строку снизу следует читать так:
с. 234, рис. 9.7 должен выглядеть так:
с. 237, рис. 9.10 должен выглядеть так:
с. 238, рис. 9.12 должен выглядеть так:
с. 244, рис. 9.18 должен выглядеть так:
Глава 10. Информационная безопасность
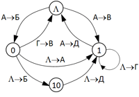
с. 286, рис. 10.3 должен выглядеть так:
с. 292, 3-й абзац следует читать так:
Зашифруем сообщение, состоящее из чисел 1, 2 и 3, с помощью открытого ключа (5,21).
Получаем:
Учебник для 11 класса
От авторов
с. 8, адрес методического сайта издательства «Бином» должен выглядеть так:
Глава 1. Информация и информационные процессы
с. 10, первую формулу следует читать так:
i = log2 50 ≈ 5,644 бита.
с. 10, 3-й абзац следует читать так:
В общем случае объём сообщения длиной L символов,
использующего алфавит из N символов, равен
I = L·log2 N.
с. 10, 2-й абзац снизу следует читать так:
В общем случае, если используется алфавит из N символов,
то количество разных возможных сообщений длиной L символов равно
Q = NL.
с. 20, 2-й абзац следует читать так:
Основная единица измерения скорости — биты в секунду
(бит/с, англ. bps — bits per second). Для характеристики
быстродействующих каналов применяют единицы измерения с десятичными приставками
(а не двоичными, как при измерении количества информации): килобиты в
секунду (1 кбит/с = 1000 бит/с),
мегабиты в секунду (1 Мбит/c = 106 бит/с) и
гигабиты в секунду (1 Гбит/c = 109 бит/с);
иногда используют байты в секунду (байт/с) и мегабайты в секунду
(1 Мбайт/с = 106 байт/с).
с. 20, последнюю выносную формулу следует читать так:
512 000 бит/с · 60 c = 30 720 000 битов
= 3 840 000 байтов = 3750 Кбайт.
с. 21, начало 3-го абзаца следует читать так:
Простейший вариант — добавить в конец блока данных один бит,
который будет равен ...
с. 25, вопрос 11 следует читать так:
11. Каково должно быть расстояние Хэмминга между двумя любыми кодами,
чтобы можно было исправить 2 ошибки?
с. 39, первые два пункта списка в нижней части страницы следует читать так:
- тексты, в которых повторяются одинаковые слова и
символы имеют разные частоты встречаемости (файлы с
расширениями txt, doc);
- документы — тексты с оформлением и, возможно,
вставленными рисунками, таблицами и т. п.; электронные таблицы
(файлы с расширениями doc, xls);
Глава 2. Моделирование
с. 66, задачу 8 следует читать так:
8. Подумайте, как можно было бы организовать условный
переход: перейти на N байтов вперёд (или назад), если результат
последней операции — ноль.
с. 72, рис. 2.7 должен выглядеть так:
с. 80, рисyнок должен выглядеть так:
с. 85, задание 9 в верху страницы следует читать так:
Путешественник прибыл в посёлок Моховое в 8 утра по местному времени.
с. 97, формулы в задании 1б должны выглядеть так:
с. 101, рис. 2.16 должен выглядеть так:
с. 102, начало 2-го абзаца следует читать так:
Зависимость коэффициента KL от численности N — это
обратная связь, с помощью которой регулируется численность. Если
N < L, т.е. фактическая численность меньше «заданной», ...
с. 105, первая формула должна выглядеть так:
с. 105, вторая формула должна выглядеть так:
с. 105, третья формула должна выглядеть так:
с. 106, вопрос 5 в верхней части страницы следует читать так:
При каком значении коэффициента DM
бурундуки вымрут через 25 лет?
Глава 3. Базы данных
с. 121, 3-й абзац следует читать так:
Ключ, состоящий из одного поля, называется простым, а
соответствующее поле таблицы — ключевым полем.
Простой ключ часто называют идентификатором от слова
«идентифицировать» — отличить один объект от другого.
с. 121, начало последнего абзаца следует читать так:
Теперь посмотрим на приведённую на рис. 3.4 таблицу...
с. 132, рис. 3.14 должен выглядеть так:
с. 132, рис. 3.15 должен выглядеть так:
с. 136, вопрос б) в задаче 5 следует читать так:
б) родной сестры П. А. Кузнецова;
с. 164, рис. 3.38 должен выглядеть так:
с. 170, конец 2-го абзаца над рис. 3.49 следует читать так:
Теперь нужно аналогично добавить на форму поле валюты, в котором будет выводиться сумма
оплаты для выбранного заказа. Кнопка
для вставки такого поля находится на панели дополнительных элементов управления:
Чтобы вывести эту панель на экран, щёлкните по кнопке
.
Перед вставкой нового поля в окне Навигатора форм нужно выделить вторую субформу,
которой это поле должно принадлежать.
с. 173, начало 2-го абзаца следует читать так:
В-четвёртых, объемы данных, которые нужно обрабатывать,
всё время возрастают, сейчас базы данных поисковых систем могут
достигать нескольких петабайтов. Например, Google обрабатывает
более 20 Пб данных в день, Facebook хранит 1,5 Пб
фотографий, Twitter генерирует 2 Пб данных в год.
с. 175, 2-й абзац следует читать так:
В первую очередь, базы данных «ключ — значение» используются при
«облачных» вычислениях: в поисковой системе Google
(система хранения данных BigTable), интернет-магазине Amazon
(www.amazon.com, база данных SimpleDB), социальной сети Facebook
(www.facebook.com, СУБД Cassandra), сервисе микроблогов Twitter
(twitter.com, СУБД Cassandra).
Глава 4. Создание веб-сайтов
с. 187, предпоследний абзац следует читать так:
Кроме того, существуют специальные редакторы, предназначенные для разработки веб-страниц.
Многие из них поддерживают режим WYSIWYG (англ. What You See Is What You
Get — «что
видишь, то и получишь»), ...
с. 193, вторую строку в таблице следует читать так:
  неразрывный пробел
с. 203, 4-й абзац следует читать так:
Сначала указывают селектор (от англ. select — выбирать) —
название элемента или обозначение для группы элементов, оформление которых меняется.
Затем в фигурных скобках определяются все нужные свойства. В данном случае для тэга
<body> изменяются свойства ...
с. 204, последнее предложение следует читать так:
Здесь для свойства border задано (через пробел)
сразу три «подсвойства»: ...
с. 206, последний абзац следует читать так:
Существует много разных типов селекторов, свойств и их возможных значений.
Полную информацию вы можете найти в справочной литературе или в Интернете.
с. 211, последний абзац следует читать так:
Для любого элемента веб-страницы можно определить фоновый рисунок.
Для этого к свойствам элемента в стилевом файле нужно
добавить свойство background (фон), ...
с. 219, 1-й абзац следует читать так:
Более современный подход — вынести всё оформление в стилевой файл
и применить каскадные таблицы стилей (CSS). Подробное описание
свойств, задающих внешний вид ячеек, ...
с. 222, вопрос 5 следует читать так:
5. Что такое плавающий блок? Какое свойство в стилевом
файле задаёт обтекание блоков текстом?
с. 237, первые 2 строки следует читать так:
Для образовательного сайта доменное имя может быть
предоставлено бесплатно.
Глава 5. Элементы теории алгоритмов
с. 7, конец предпоследнего абзаца следует читать так:
Такая функция может быть не определена для некоторых входных слов, если
алгоритм зацикливается или завершается аварийно.
с. 20, задачу 12 следует читать так:
12. Напишите НАМ, который удаляет последний символ строки, состоящей из
цифр 0 и 1. Какую операцию он выполняет, если рассматривать строку
как двоичную запись числа?
с. 38, формулировку алгоритма Евклида следует читать так:
Пусть заданы два натуральных числа m и n, причём m ≥ n...
с. 43, условия для алгоритма Евклида следует читать так:
Q: m ≥ n > 0, R: a = НОД(m, n)
с. 44, вопрос 4 следует читать так:
4. Что изменится в доказательстве алгоритма Евклида, если m и n —
это произвольные натуральные числа (неравенство m ≥ n может не
выполняться)?
с. 47, задачу 10 следует читать так:
Оцените сложность алгоритма быстрого возведения в степень при
n = 2m, где m — натуральное число.
Глава 6. Алгоритмизация и программирование
с. 49, 3-й абзац следует читать так:
Пусть задано некоторое натуральное число N и требуется
найти все простые числа в диапазоне от 2 до N. Самое простое
(но неэффективное) решение этой задачи состоит в том, что в цикле
перебираются все числа от 2 до N, и каждое из них ...
с. 57, задачу 2 следует читать так:
2. Напишите две программы, которые находят все простые числа от 2
до N двумя разными способами: ...
с. 71, 2-я и 3-я строки должны выглядеть так:
writeln(Length(A[0])); {= 1}
writeln(Length(A[9])); {= 10}
с. 89, перед абзацем «В конце программы остаётся...» пропущен абзац::
После окончания цикла нужно проверить содержимое стека: если он не пуст, то в выражении есть незакрытые скобки, и оно ошибочно:
if not isEmpty(S) then err:=True;
с. 95, задачу 6 следует читать так:
Перепишите программу из задачи 5 — используйте статический
массив для организации очереди.
с. 112, нижняя часть программы должна выглядеть так:
c:=col[jMin];
for i:=1 to N do
if col[i]=c then
col[i]:=col[iMin];
с. 117, программа, иллюстрирующая алгоритм Флойда, должна выглядеть так:
for k:=1 to N do
for i:=1 to N do
for j:=1 to N do
if W[i,k]+W[k,j] < W[i,j] then
W[i,j]:= W[i,k] + W[k,j];
с. 123, рекуррентная формула в середине страницы должна выглядеть так:
с. 125, 2-й абзац следует читать так:
Как же решить, брать или не брать камень? Надо проверить,
в каком случае полученный вес будет больше (ближе к w).
с. 128, последняя формула должна выглядеть так:
Глава 7. Объектно-ориентированное программирование
с. 145, предпоследний абзац следует читать так:
Этот цикл закончится тогда, когда пользователь нажмёт любую
клавишу и функция keypressed, расположенная в модуле Crt,
вернёт значение True.
с. 145, начало последней программы должно выглядеть так:
uses Crt;
const N = 3;
var road: TRoad;
...
с. 157, последнее предложение следует читать так:
В этот же блок protected мы переместим
объявление поля FRes (его будут менять наследники в процедуре Calc) и объявление
свойства In2 — оно будет скрыто для элемента «НЕ», а элементы
с двумя входами его «откроют» (чуть позже).
с. 157-158, начало программы следует читать так:
type
TLogElement = class
private
FIn1, FIn2: boolean;
procedure setIn1(newIn1: boolean);
procedure setIn2(newIn2: boolean);
protected
FRes: boolean;
...
с. 159, описание класса TNot следует читать так:
type
TNot = class(TLogElement)
protected
procedure calc; override;
end;
с. 159, метод TNot.calc следует читать так:
procedure TNot.calc;
begin
FRes := not In1
end;
с. 160, описание классов TAnd и TOr следует читать так:
type
TAnd = class(TLog2In)
protected
procedure calc; override;
end;
TOr = class(TLog2In)
protected
procedure calc; override;
end;
с. 160, метод TAnd.calc следует читать так:
procedure TAnd.calc;
begin
FRes := In1 and In2
end;
с. 162-163, объявления классов следует читать так:
type
TLogElement = class
private
FIn1, FIn2: boolean;
procedure setIn1(newIn1: boolean);
procedure setIn2(newIn2: boolean);
protected
FRes: boolean;
...
end;
TNot = class(TLogElement)
protected
procedure calc; override;
end;
TAnd = class(TLog2In)
protected
procedure calc; override;
end;
TOr = class(TLog2In)
protected
procedure calc; override;
end;
с. 176-177, текст обработчика события следует читать так:
procedure TMainForm.FormCloseQuery(Sender: TObject;
var CanClose: boolean);
var res: TModalResult;
begin
res:=MessageDlg('Подтверждение',
'Вы действительно хотите выйти из программы?',
mtConfirmation, [mbYes,mbNo], 0);
CanClose:=(res=mrYes);
end;;
с. 177, 2-е предложение 1-го абзаца следует читать так:
Здесь вызывается функция MessageDlg, и её результат записывается в
переменную res типа TModalResult. Если это значение совпадает со
встроенной константой mrYes (то есть пользователь нажал на кнопку
"Yes"), в переменную CanClose записывается значение True.
Глава 8. Компьютерная графика и анимация
с. 237, рисунок 8.32 должен выглядеть так:
Глава 9. Трехмерная графика
с. 248, 3-й абзац следует читать так:
Объекты можно вращать как в плоскости проекции (нажав
клавишу R, от англ. rotate — вращать), так и вокруг одной
выбранной оси ...
с. 265, предпоследний абзац следует читать так:
В жизни нас окружает множество объектов, которые могут
быть построены как тела вращения: тарелки, стаканы, бокалы,
вазы и т.п. Для их моделирования также можно использовать
профили, но в данном случае контур, определяющий путь, — это окружность.
с. 266, конец 1-го абзаца следует читать так:
... поэтому эту точку нужно размещать на расстоянии радиуса
окружности от края кривой (см. рис. 9.28).
Для перемещения опорной точки можно щелчком мыши установить курсор в
нужное место и выбрать в меню под проекцией команду Объект — Преобразования —
Опорную точку к 3D-курсору (Object — Transform — Origin to 3D Cursor).
с. 278, начало 2-го абзаца следует читать так:
Камеру можно «привязать» к какому-то объекту сцены, т.е.
сделать так, чтобы она была всё время направлена на этот объект.
Для этого на странице свойств Ограничения объекта (Object
Constraints) можно добавить ...
|
|