Результаты теста
Программный комплекс
NetTest
4 - Деревья
1. Как называется узел дерева, у которого нет потомков?
Ответ:
2. Как называется узел дерева, который не имеет предков?
Ответ:
3. Отметьте все элементы, которые могут присутствовать в дереве.
корень
ствол
листья
дуги (ребра)
почки
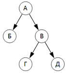
4. Перечислите листья этого дерева.
А, В, Д
Б, Г, Д
В, Г, Д
А, Б, Г
это некорректный вопрос
5. В каких отношениях состоят узлы А и Г?
узел А - родитель для узла Г
узел А - предок для узла Г
узел Г - потомок для узла А
узел Г - сын для узла А
это некорректный вопрос
6. Сколько потомков имеет узел А?
Ответ:
7. Какова высота этого дерева?
Ответ:
8. Перечислите узлы, которые являются потомками узла А.
Б, В
Б, В, Г, Д
В, Г, Д
Г, Д
9. Перечислите узлы, которые являются сыновьями узла А.
Б, В
Б, В, Г, Д
В, Г, Д
Б, Г, Д
10. Перечислите узлы, которые являются предками узла Д.
А, В
А, Б, В
А, Б, В, Г
В
А
11. Выполните обход этого дерева в порядке «левое-корень-правое». В ответе запишите последовательность узлов без пробелов (например, АБВГД).
Ответ:
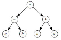
12. Запишите арифметическое выражение, соответствующее этому дереву, в постфиксной форме (без пробелов).
Ответ:
13. Запишите арифметическое выражение, соответствующее этому дереву, в префиксной форме (без пробелов).
Ответ: