Результаты теста
Программный комплекс
NetTest
4 - Сжатие данных
1. Отметьте все причины, по которым иногда требуется сжимать файлы с помощью программ-архиваторов.
файлы занимают много места на диске
файлы надо перенести на другой компьютер
файлы часто используются
необходимо защитить данные от просмотра
файлы надо передать через Интернет
2. В каких случаях используется сжатие без потерь?
для сжатия документов
для сжатия звука
для сжатия видеофильмов
для сжатия фотографий
для сжатия программ
3. В каких случаях можно использовать сжатие с потерями?
для сжатия документов
для сжатия фотографий
для сжатия программ
для сжатия звука
для сжатия видеофильмов
4. Как называется код, в котором ни одно кодовое слово
не является началом другого кодового слова? В ответе введите прилагательное.
Ответ:
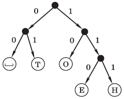
5. Определите кодовое слово для буквы Е.
Ответ:
6. Выполняется ли условие Фано для кода, соответствующему показанному дереву?
да
нет
7. Используя приведённое кодовое дерево, расшифруйте сообщение:
1111001110
Ответ:
8. Заданы частоты для всех букв, встречающихся в сообщении:
А - 70, Т - 80, Н - 90,
Е - 90, О - 150
Определите длину самого короткого кодового слова в коде Хаффмана.
Ответ:
9. Как называются искажения изображения, звука, видео и т.д., вызываемые сжатием с потерями?
Ответ:
10. Как называется программа (или устройство), которое выполняет кодирование и декодирование звука и видео?
Ответ: