Результаты теста
Программный комплекс
NetTest
16 - Блок-схемы алгоритмов
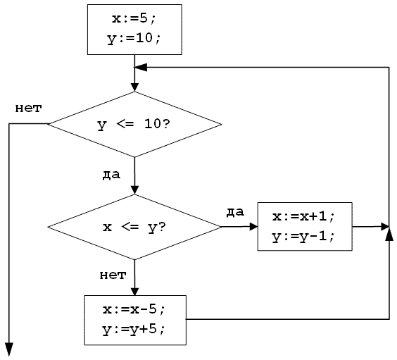
1. Определите значения переменной
«x»
после выполнения фрагмента алгоритма.
Ответ:
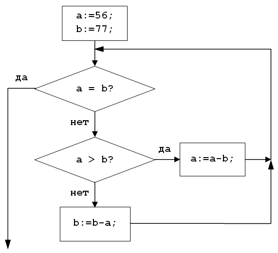
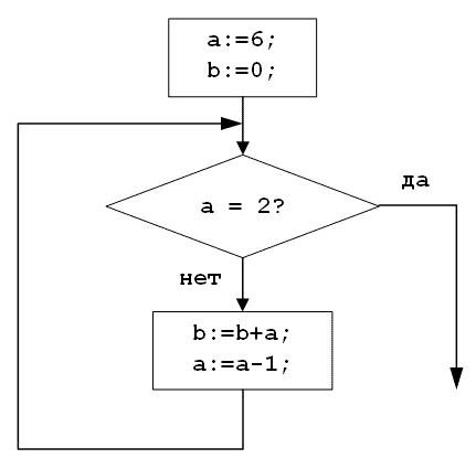
2. Определите значение переменной
«b»
после выполнения фрагмента алгоритма.
Ответ:
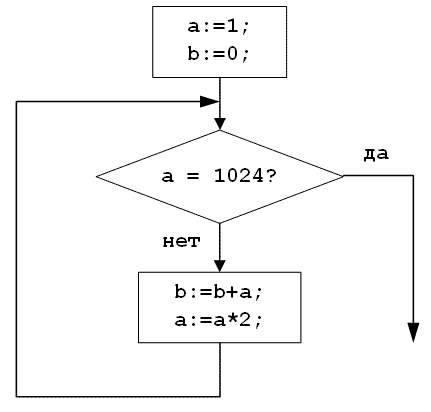
3. Определите значение переменной
«b»
после выполнения фрагмента алгоритма.
Ответ:
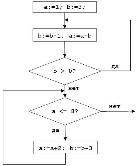
4. Определите значение переменной
«b»
после выполнения фрагмента алгоритма.
Ответ:
5. Определите значения переменной
«a»
после выполнения фрагмента алгоритма.
Ответ:
6. Определите значение переменной
«b»
после выполнения фрагмента алгоритма.
Ответ:
7. Определите значение переменной
«a»
после выполнения фрагмента алгоритма.
Ответ: