Результаты теста
Программный комплекс
NetTest
15 - Количество путей в графе (ОГЭ)
1. На рисунке – схема дорог, связывающих города А, Б, В, Г, Д, Е, Ж и К. По каждой дороге можно двигаться только в одном направлении, указанном стрелкой. Сколько существует различных путей из города А в город К?
Ответ:
2. На рисунке – схема дорог, связывающих города А, Б, В, Г, Д, Е, Ж, З, И, К и Л. По каждой дороге можно двигаться только в одном направлении, указанном стрелкой. Сколько существует различных путей из города А в город Л?
Ответ:
3. На рисунке – схема дорог, связывающих города А, Б, В, Г, Д, Е, Ж, З, И, К и Л. По каждой дороге можно двигаться только в одном направлении, указанном стрелкой. Сколько существует различных путей из города А в город Л?
Ответ:
4. На рисунке – схема дорог, связывающих города А, Б, В, Г, Д, Е, Ж и К. По каждой дороге можно двигаться только в одном направлении, указанном стрелкой. Сколько существует различных путей из города А в город К?
Ответ:
5. На рисунке – схема дорог, связывающих города A, B, C, D, E, F и G. По каждой дороге можно двигаться только в одном направлении, указанном стрелкой. Сколько существует различных путей из города A в город G?
Ответ:
6. На рисунке – схема дорог, связывающих города А, Б, В, Г, Д, Е, Ж и К. По каждой дороге можно двигаться только в одном направлении, указанном стрелкой. Сколько существует различных путей из города А в город К?
Ответ:
7. На рисунке – схема дорог, связывающих города А, Б, В, Г, Д, Е, Ж, З, И, К и Л. По каждой дороге можно двигаться только в одном направлении, указанном стрелкой. Сколько существует различных путей из города А в город Л?
Ответ:
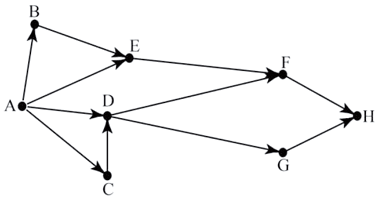
8. На рисунке – схема дорог, связывающих города A, B, C, D, E, F, G и H. По каждой дороге можно двигаться только в одном направлении, указанном стрелкой. Сколько существует различных путей из города A в город H?
Ответ:
9. На рисунке – схема дорог, связывающих города А, Б, В, Г, Д, Е, Ж и К. По каждой дороге можно двигаться только в одном направлении, указанном стрелкой. Сколько существует различных путей из города А в город К?
Ответ:
10. На рисунке – схема дорог, связывающих города A, B, C, D, E, F и G. По каждой дороге можно двигаться только в одном направлении, указанном стрелкой. Сколько существует различных путей из города A в город G?
Ответ:
11. На рисунке – схема дорог, связывающих города А, Б, В, Г, Д, Е, Ж, З, И, К и Л. По каждой дороге можно двигаться только в одном направлении, указанном стрелкой. Сколько существует различных путей из города А в город Л?
Ответ:
12. На рисунке – схема дорог, связывающих города A, B, C, D, E, F, G, H, I и J. По каждой дороге можно двигаться только в одном направлении, указанном стрелкой. Сколько существует различных путей из города A в город J?
Ответ:
13. На рисунке – схема дорог, связывающих города A, B, C, D, E, F, G, H, I и J. По каждой дороге можно двигаться только в одном направлении, указанном стрелкой. Сколько существует различных путей из города A в город J?
Ответ:
14. На рисунке – схема дорог, связывающих города A, B, C, D, E, F и G. По каждой дороге можно двигаться только в одном направлении, указанном стрелкой. Сколько существует различных путей из города A в город H?
Ответ:
15. На рисунке – схема дорог, связывающих города A, B, C, D, E, F, G и H. По каждой дороге можно двигаться только в одном направлении, указанном стрелкой. Сколько существует различных путей из города A в город H?
Ответ:
16. На рисунке – схема дорог, связывающих города А, Б, В, Г, Д, Е, Ж, З, И и К. По каждой дороге можно двигаться только в одном направлении, указанном стрелкой. Сколько существует различных путей из города А в город К?
Ответ:
17. На рисунке – схема дорог, связывающих города А, Б, В, Г, Д, Е, Ж, З, И и К. По каждой дороге можно двигаться только в одном направлении, указанном стрелкой. Сколько существует различных путей из города А в город К?
Ответ:
18. На рисунке – схема дорог, связывающих города A, B, C, D, E и F. По каждой дороге можно двигаться только в одном направлении, указанном стрелкой. Сколько существует различных путей из города A в город F?
Ответ:
19. На рисунке – схема дорог, связывающих города A, B, C, D, E и F. По каждой дороге можно двигаться только в одном направлении, указанном стрелкой. Сколько существует различных путей из города A в город F?
Ответ:
20. На рисунке – схема дорог, связывающих города A, B, C, D, E, F, G и H. По каждой дороге можно двигаться только в одном направлении, указанном стрелкой. Сколько существует различных путей из города A в город H?
Ответ:
21. На рисунке – схема дорог, связывающих города A, B, C, D, E, F, G и H. По каждой дороге можно двигаться только в одном направлении, указанном стрелкой. Сколько существует различных путей из города A в город H?
Ответ:
22. На рисунке – схема дорог, связывающих города A, B, C, D, E, F, G и H. По каждой дороге можно двигаться только в одном направлении, указанном стрелкой. Сколько существует различных путей из города A в город H?
Ответ:
23. На рисунке – схема дорог, связывающих города A, B, C, D, E, F, G и H. По каждой дороге можно двигаться только в одном направлении, указанном стрелкой. Сколько существует различных путей из города A в город H?
Ответ: