Описание линейных дискретных систем

1. Даны импульсные характеристики четырёх дискретных систем. Какие из них являются физически реализумыми?
1 и 4
1 и 3
2, 3 и 4
2 и 4
все
2. Укажите, как нужно правильно заполнить часть фразы, обозначенную многоточием:

Импульсная характеристика дискретной системы — это её реакция на ... при нулевых начальных условиях.
единичный дискретный ступенчатый сигнал
единичный дискретный импульс
дельта-функцию
линейно возрастающий сигнал
экспоненциальный сигнал
3. Даны передаточные функции нескольких дискретных систем. Отметьте передаточные функции систем с конечной импульсной характеристикой.
W(z)=2+3⋅z-1+4⋅z-2+6⋅z-3
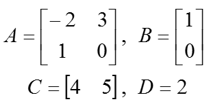
W(z)=(2+3⋅z-1)/(1+4⋅z-2+6⋅z-3)
W(z)=(2+3⋅z-1)/(2+z-1-3⋅z-2)
W(z)=(3⋅z2+4⋅z+5)/(z2+2⋅z+3)
W(z)=(3⋅z2+4⋅z+5)/z4
4. Определите первые 5 значений реакции системы с передаточной функцией
            8⋅z
W(z) = ---------
z - 0,5
на входной сигнал, показанный на рисунке. В ответе должны быть целые числа (значения y[0], y[1], y[2], y[3] и y[4]) разделённые одиночными пробелами.
Ответ: 
5. Определите изображение переходной характеристики для системы с передаточной функцией
            3⋅z
W(z) = ---------
2⋅z - 1
Y(z)=3⋅z/((2⋅z-1)(z-1))
Y(z)=3⋅z2/((2⋅z-1)(z-1))
Y(z)=3⋅z2/(2⋅z-1)
Y(z)=3⋅z/(2⋅z2-z)
Y(z)=3⋅z2/((2⋅z-1)(2⋅z-1))
6. Определите нули передаточной функции
             (z-5)(z+6)(z-1)
W(z) = 3 ⋅ -----------------
(z-1)(z+3)(z-4)
В ответе запишите все нули (целые числа) в порядке возрастания, разделив их одиночными пробелами.
Ответ: 
7. Определите полюса передаточной функции
                (z-5)(z+6)(z-7)
w(z) = 3 ⋅ ---------------------
(z-1)(z+3)(z-5)(z-2)
В ответе запишите все полюса (целые числа) в порядке возрастания, разделив их одиночными пробелами.
Ответ: 
8. Определите, какая передаточная функция могла бы соответствовать этому переходному процессу при начальном значении выхода y0. Входной сигнал равен нулю.
W(z)=(z+0,5)/(z-1)
W(z)=(z+0,5)/z
W(z)=(z+0,5)/(z+1)
W(z)=z/(z-0,5)
W(z)=z/(z-0,5)
9. Определите, какая передаточная функция могла бы соответствовать этому переходному процессу при начальном значении выхода y0. Входной сигнал равен нулю.
W(z)=z/(z-0,5)
W(z)=z/(z-1)
W(z)=z/(z+1)
W(z)=z/(z+0,5)
W(z)=(z+0,5)/(z-0,5)
10. Определите, какая передаточная функция могла бы соответствовать этому переходному процессу при начальном значении выхода y0. Входной сигнал равен нулю.
W(z)=z/(z-1,5)
W(z)=z/(z-1)
W(z)=z/(z+1)
W(z)=z/(z+1,5)
W(z)=(z+0,5)/(z-1,5)
11. Определите, какая передаточная функция могла бы соответствовать этому переходному процессу при начальном значении выхода y0. Входной сигнал равен нулю.
W(z)=z/(z+0,5)
W(z)=z/(z-1,5)
W(z)=z/(z+1)
W(z)=z/(z-0,5)
W(z)=(z+0,5)/(z-1,5)
12. Передаточная функция системы имеет вид
        
4⋅z - 5
W(z) = -------------
z2 + 2⋅z - 3
Определите первую строку в матрице A модели в пространстве состояний в канонической управляемой форме. Вводите только числа, разделяя их одиночными пробелами.
Ответ: 
13. Передаточная функция системы имеет вид
        
3⋅z - 2
W(z) = -------------
z2 + 4⋅z - 5
Определите матрицу С модели в пространстве состояний в канонической управляемой форме. Вводите только числа, разделяя их одиночными пробелами.
Ответ: 
14. Передаточная функция системы имеет вид
        
7⋅z + 12
W(z) = ---------------------
z3 + 3⋅z2 + 2⋅z - 1
Определите размер (число строк и столбцов) матрицы A модели в пространстве состояний.
Ответ: 
15. Передаточная функция системы имеет вид
        
3⋅z3 + 2
W(z) = ---------------------
2⋅z3 + 2⋅z2 + 3⋅z - 4
Определите матрицу D (число) модели в пространстве состояний.
Ответ: 
16. Определите передаточную функцию по модели в пространстве состояний.
W(z)=(4⋅z+1)/(z2-2⋅z-3)
W(z)=(8⋅z+2)/(2⋅z2-4⋅z+6)
W(z)=(4⋅z+1)/(z2+2⋅z-3)
W(z)=(2⋅z-3)/(z2+4⋅z+1)
W(z)=(-2⋅z+3)/(z2+4⋅z+1)
17. Определите передаточную функцию по модели в пространстве состояний.
W(z)=(4⋅z+5)/(z2+2⋅z-3)
W(z)=(2⋅z2+8⋅z-1)/(z2+2⋅z-3)
W(z)=(2⋅z-3)/(z2+4⋅z+5)
W(z)=(2⋅z2+4⋅z+5)/(z2+2⋅z-3)
W(z)=(4⋅z+5)/(z2-2⋅z+3)