Устойчивость дискретных систем

1. Отметьте все правильные высказывания.
для нелинейных систем устойчивость — свойство системы
для нелинейных систем устойчивость — свойство решения
для линейных систем устойчивость — свойство решения
для линейных систем устойчивость — свойство системы
асимптотическая устойчивость — более сильное свойство, чем устойчивость
2. Выберите правильное окончание фразы

Решение уравнений системы асимптотически устойчиво, если ...
оно просто устойчиво, этого достаточно
при любом отклонении от выбранного начального состояния сходится к базовому решению
при некотором отклонении от выбранного начального состояния сходится к базовому решению
отклоняется от базового решения не более, чем на заданное расстояние
отклоняется от базового решения более, чем на заданное расстояние
3. Какими свойствами обладает линейная дискретная система, если при отсутствии внешних воздействий выполняется условие

|| x[k] || < C при k ≥ 0
устойчивость
неустойчивость
асимптотическая устойчивость
стабилизируемость
нестабилизируемость
4. Какими свойствами обладает линейная дискретная система, если при отсутствии внешних воздействий выполняется условие

lim || x[k] || = 0
k→∞
устойчивость
неустойчивость
асимптотическая устойчивость
стабилизируемость
нестабилизируемость
5. Система задана в пространстве состояний четверкой матриц (A, B, C, D). Свойства каких матриц определяют её устойчивость?
матрицы A и B
матрицы A и С
все матрицы A, B, C и D
только матрицы A
матрицы B и C
6. Линейная дискретная система задана уравнением в пространстве состояний
  x[k+1] = A⋅x[k] + B⋅u[k]
Чему равно значение x[k] при нулевом входном сигнале, если начальное значение вектора состояния было x[0]=x0?
x[k]=A⋅x0
x[k]=Akx0
x[k]=x0⋅Ak
x[k]=x0⋅A
x[k]=A⋅x0⋅B
7. Какое уравнение определяет собственные числа квадратной матрицы A?
det(A)=0
det(λI - A)=0
det(I - λA)=0
det(λI - λA)=0
det(λA)=I
8. Выберите верное условие устойчивости дискретных систем. Здесь λ обозначает собственное число матрицы A.
|λ|≤1
|λ|<1
|λ|≥1
|λ|>1
Re λ < 0
9. В каких случаях квадратная матрица A всегда может быть приведена к диагональной форме с помощью эквивалентного преобразования
 Adiag = T-1⋅A⋅T
с невырожденной матрицей T?
когда все собственные числа вещественные
когда все собственные числа комплексно-сопряженные
когда все собственные числа простые (не кратные)
когда все собственные числа кратные
когда все комплексно-сопряженные собственные числа простые
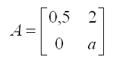
10. При каких значениях a дискретная система с матрицей A устойчива.
a=1
a=0,5
a=0,25
a=1,25
a=2
11. При каких значениях a дискретная система с матрицей A устойчива.
a=1
a=0,75
a=0,25
a=0,1
a=2
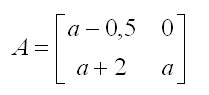
12. При каких значениях a дискретная система с матрицей A устойчива.
a=0,8
a=1,5
a=0,25
a=0,5
a=1
13. При каких значениях a дискретная система с передаточной функцией W(z) устойчива.
a=1,5
a=0,5
a=-1,5
a=-0,5
a=1
14. При каких значениях a дискретная система с передаточной функцией W(z) устойчива.
a=1,5
a=0,5
a=-1,5
a=-0,5
a=1
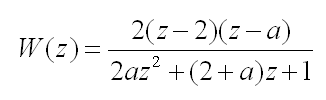
15. При каких значениях a дискретная система с передаточной функцией W(z) устойчива.
a=-0,75
a=0,25
a=-1,5
a=0,75
a=1,5
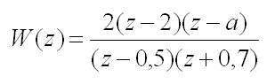
16. При каких значениях a дискретная система с передаточной функцией W(z) устойчива.
a=-0,75
a=0,5
a=-1,5
a=0,75
a=1,5
17. При каких вариантах выбора коэффицентов b1 и b0 система с характеристическим полиномом
  Δ(z) = z2 + b1⋅z + b0
устойчива?
b1=0; b0=-0,5
b1=0; b0=1,5
b1=1,5; b0=0,75
b1=1; b0=-0,5
b1=-1; b0=1,5
18. Регулятор имеет передаточную функцию
          z - α
C(z) = -------
z - β
Отметьте модели объектов, для которых использование такого регулятора невозможно, потому что система получается физически нереализуемой.
P(z)=1
P(z)=z/(z-2)
P(z)=1/(z-2)
P(z)=1/(z2+z-1)
P(z)=(z-1)/(z2+z-1)
19. Замкнутая одноконтурная система с регулятором C(z) имеет передаточную функцию W(z):
          z - 2               -2z + 4 
C(z) = ------- W(z) = -------------
z - 1 6z2 - 5z + 1
Какую передаточную функцию имеет модель объекта управления?
P(z)=-2z/(6z+3)
P(z)=2/(6z-3)
P(z)=-2/(6z+3)
P(z)=-2z/(6z+3)
P(z)=-2/(6z-3)
20. Объект и регулятор имеют передаточные функции
            2               A
P(z) = ------- C(z) = -----
z + 0,5 z - 1
Выберите значения A, при которых замкнутая система устойчива.
A = 1
A = 0,5
A = 0,7
A = -0,5
A = -0,3
21. Объект и регулятор имеют передаточные функции
           2                z + A
P(z) = ----- C(z) = K ⋅ ------
z + A z - B
Выберите значения A, при которых можно сразу сказать, что замкнутая система неустойчива (при любом выборе K и B).
A = 0,5
A = 1,2
A = -1,5
A = 0,25
A = -0,5
22. Объект и регулятор имеют передаточные функции
           -10            z - 2
P(z) = ------- C(z) = -----
5z + 19 z - 1
Постройте характеристический полином замкнутой системы и введите его без пробелов и знаком умножения. Степень обозначайте знаком «^». Свободный член полинома сделайте равным 1 (например, 2z^2+3z+1).
Ответ: 
23. Модель объекта имеет передаточную функцию
             2z + 1  
P(z) = --------------
z^2 + 4z + 0.5
Характеристический полином замкнутой системы:
Δ(z) = 5z4 + 4z3 + 3z2 + 2z + 1
Определите порядок регулятора.
Ответ: